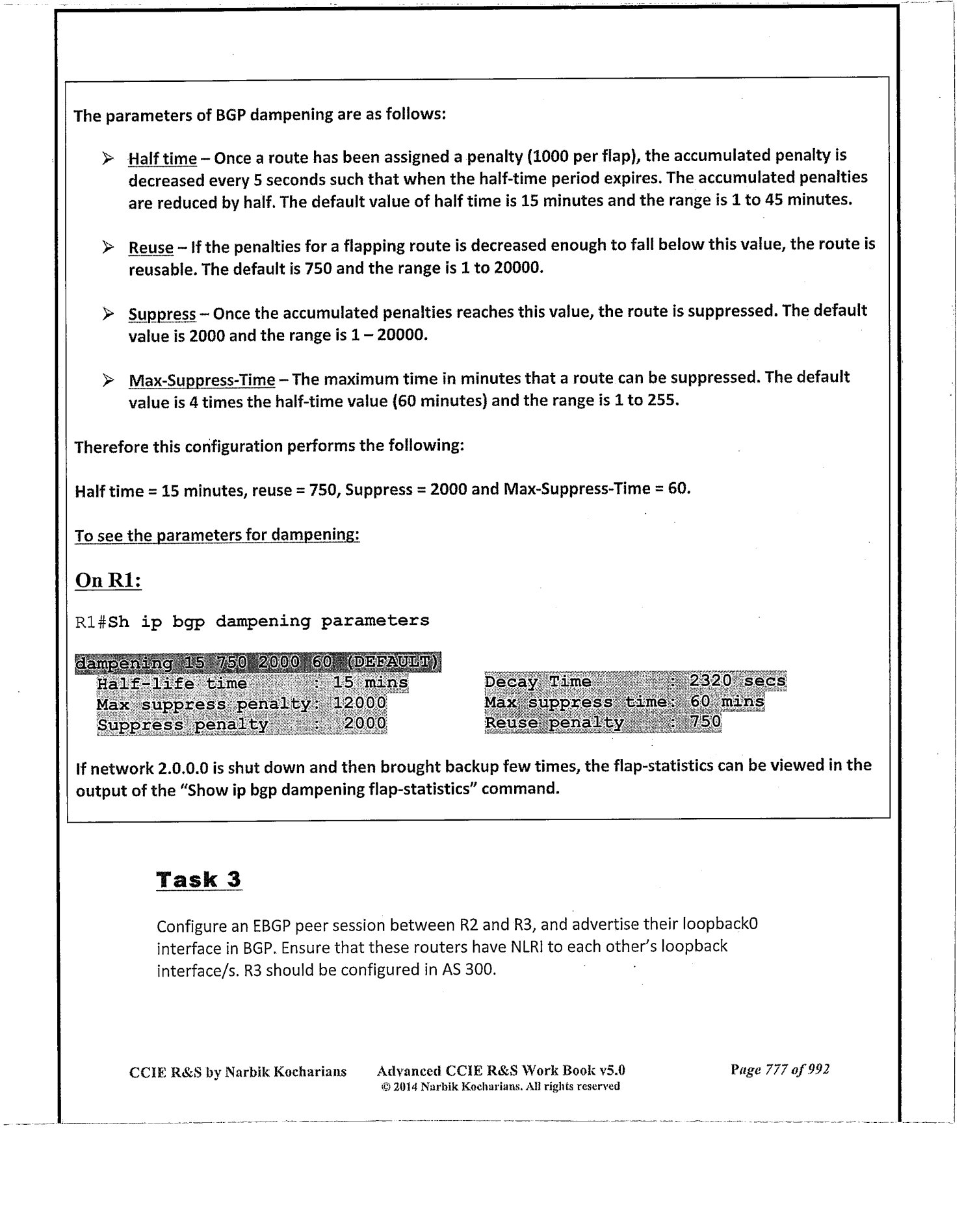
Lab 4 - Route Dampening